Simulation of materials properties

Computation of UV, IR, Raman, NMR, EPR, XRD - spectra

Computation of HOMO/LUMO-level, EA, IP, redox potentials, electrical conductivities

Determination of melting-, boiling-, glass transition temperatures

Computation of densities and coefficient of thermal expansion

Determination of morphology of big material systems

Computation of phase interactions

Determination of the dynamics and stability of particles

UV, IR, Raman, EPR, XRD - spectra

Material properties based on interactions with electromagnetic radiation are often used to identify a substance. In some applications they can also be used directly as a desired feature.

CreativeQuantum determines the properties of molecules or solids by quantum mechanical simulations, allowing to evaluate new materials even before complex and costly synthesis.


NMR, XRD - in-situ chemical structure determination

Materials have often structure-specific NMR shifts that allow a determination of the molecular configuration. However, intermolecular interactions (for example, in tight ion pairs) are not easy to locate in the shifts.

With the help of new approaches, CreativeQuantum can calculate atom-specific NMR shifts leading to the determination of in-situ structures and interactions. Also, the unique configuration and conformation of e.g. Complex natural products can be determined.



HOMO / LUMO level, EA, IP, redox potentials, electrical conductivities

Electrochemical properties of materials are playing an increasingly important role in material research. The determination of electronic properties of new molecules or solids is therefore of great interest.

For this purpose, CreativeQuantum determines the material-specific properties and helps in the rapid evaluation of new suitable materials.


Melting-, boiling-, glass transition temperatures

Material properties such as melting, boiling, or glass transition temperatures are dependent on intermolecular interactions and the molecular structure. These properties also correlate with the stability of a functional material.

With the help of state-of-the-art methods based on quantum mechanics, CreativeQuantum is able to determine phase transitions for new molecules or molecular mixtures.



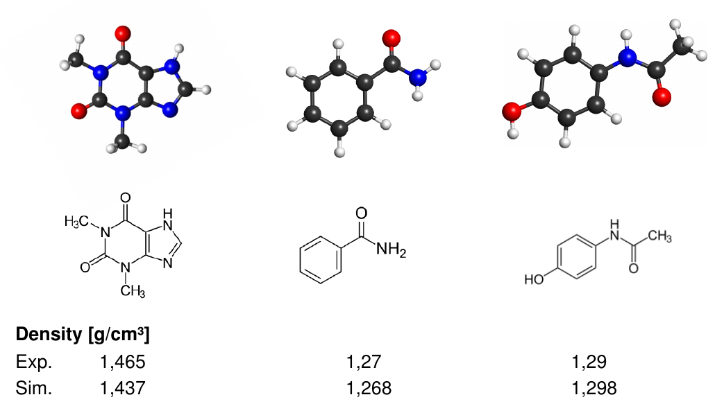
Densities and coefficient of thermal expansion

The density and coefficient of thermal expansion are dependent on intermolecular interactions and the molecular structure. These properties are relevant for process engineering questions or multicomponent systems.

CreativeQuantum determines the density and coefficient of thermal expansion using modern quantum mechanical methods.


Morphology of large material systems

The morphology of oligomers, polymers or solid-state mixtures is of great importance for many material properties. In addition to the morphology itself, interaction with solvents (e.g., swelling behaviour) or phase separation may also be of interest.

With the help of state-of-the-art quantum mechanics-based examination methods, CreativeQuantum is able to investigate the dynamics of large systems and to find correlations with crucial material properties.



Contact us via E-Mail contact@creative-quantum.eu or call us +49 30 9599 911 80 (Germany/Berlin)

We are looking forward for you interest in new technology and your request !